Adalah suatu diagram yang menggambarkan susunan logika suatu program Simbol simbol yang digunakan adalah sebagai berikut :
| Simbol | Nama Simbol | Keterangan |
|---|---|---|
![]() | Terminal | sebagai awal (berisi āStartā/āMulaiā) dan sebagai akhir (berisi āEndā/āStopā/āSelesaiā). |
![]() | Input/Output | Membaca masukan (input) atau menampilkan keluaran (output). |
![]() | Proses/Prosessing | Mengolah data melalui operasi aritmatika dan logika. |
![]() | Decision/(kotak keputusan) | Berfungsi untuk memutuskan arah/percabangan yang diambil sesuai dengan kondisi yang dipenuhi, yaitu Benar/Salah. |
![]() | Subroutine/subrutin | Untuk menjalankan proses suatu bagian (sub program) atau prosedur. |
![]() | On page Connector | untuk menghubungkan diagram alur yang terputus dimana bagian tersebut masih berada pada halaman yang sama. |
![]() | Flowline/Alur data | Bagian arah instruksi yang dijalankan. |
![]() | Off page Coneector | Menghubungkan sambungan dari bagian flowchart yang terputus dimana sambungannya berada pada halaman lain. |
![]() | Preparation | Digunakan untuk pemberian harga awal. |
Diagram Alir Program Komputer#
Pada dasarnya suatu program komputer umumnya terdiri atas :
- Pembacaan / pemasukan data ke dalam komputer
- Melakukan komputasi/perhitungan terhadap data tersebut
- Mengeluarkan / mencetak/ menampilkan hasilnya.
Flowchart terdiri dari tiga struktur#
- Struktur Sequence / Struktur Sederhana Digunakan untuk program yang instruksinya sequential atau urutan

Contoh Flowchart Struktur Squence Menghitung Luas Segitiga#

Menggunakan Tabel Penyimpanan#
Tabel 1. Media Penyimpanan Sequence 1
| Perintah | A | B | Output |
|---|---|---|---|
| A <- 10 | 10 | ||
| A <- 2*A | 20 | ||
| B <- A | 20 | ||
| Write(B) | 20 |
Tabel 2. Media Penyimpanan Sequence 2
| Perintah | X | Y | Z | Output |
|---|---|---|---|---|
| X <- 100 | 100 | |||
| Y <- X-25 | 75 | |||
| Z <- Y/5 | 15 | |||
| X <- X/(Z+5) | 5 | |||
| Write(X,Y,Z) |
Menjumlahkan Dua Bilangan Positif#
Membuat flowchart untuk menjumlahkan dua bilangan bulat positip dan mencetak hasilnya Algoritmanya:
- Masukkan bilangan a
- Masukkan bilangan b
- Jumlahkan bilangan a dan b
- Cetak hasil jumlahnya

Menentukan Bilangan Genap/Ganjil#
Struktur Branching Digunakan untuk program yang menggunakan pemilihan atau penyeleksian kondisi.(contoh menentukan bilangangenap/ganjil)

Algoritmanya:
- Masukkan sebuah bilangan
- Bagi bilangan tersebut dengan 2
- Jika sisa pembagian = 0 maka bilangan tersebut adalah bilangan genap
- Jika sisa pembagian = 1 maka bilangan tersebut adalah bilangan ganjil
Pseuducode:
read bilangan
If bil mod 2 = 0 then
āBilangan Genapā
Else
āBilangan Ganjilā
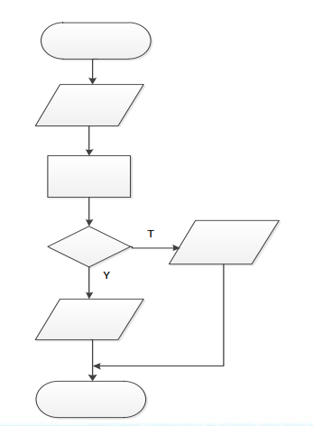
Flowchart Perulangan#
Stuktur Looping Digunakan untuk program yang instruksinya akan dieksekusi berulang-ulang.















